2026.3.13

「耐え難きを耐え、忍び難きを忍び…」は誰が耐え、誰が忍ぶのか???

自問しながらよくわからないことの一つに「耐え難きを耐え、忍び難きを忍び…」という有名な一節がある玉音放送があります。
当時この放送を聞いた国民の多くも内容を理解できた者は少なかったのではと思います。
そんな玉音放送の難解な原文と現代語訳をインターネットメディアのハフポスト(HuffPost)のサイトが解説していました(玉音放送を聞ける宮内庁の公式サイトの案内もあります)。

 
 

小生の疑問は天皇が「耐え難きを耐え、忍び難きを忍ぶ」のか?
それとも国民が耐え忍んでいくのか?でしたが(国民は1931年の満州事変から1945年の敗戦までの十五年戦争で十分耐え忍んできたはずです)、この解説サイトの現代語訳を見ると「時世の移り変わりはやむを得ないところで、耐えがたいことを耐えて、忍び難いことも忍んで、未来の平和を実現するために道を拓いていきたい。」と天皇の決意の言葉のように受け取られました。
しかし現実はどうでしょう?3月10日付けの東京新聞朝刊に、この日が東京大空襲の日であることとにも因み”「受忍論」の正体 考える”との記事がありました。
戦争での民間人の被害を補償しない根拠「受忍論」(戦争の被害は国民が等しく耐え忍ぶべきという考え、1968年の最高裁判決で示される)が、戦後の日本社会で通用してきた背景を掘り下げたドキュメンタリー映画「受忍の国 報道1930劇場版」を取りあげた内容です。
震災や原発事故、性加害問題まで「被害を受けた側が、なぜこんなにも耐え忍ぶことを”強要”されるのか」(ドキュメンタリーの監督・石川瑞紀さん)について考えさせられざるをえません。
東京大空襲といえば、この空襲を指揮した米の軍人・ Curtis Emerson LeMay(カーティス・ルメイ、最終階級は空軍大将)が1964年に、勲一等旭日大綬章を授与されたこと、
東京大空襲で身寄りを失った海老名香葉子(初代林家三平夫人)がモデルともいわれ建立にも寄与した、上野恩賜公園の東京大空襲の犠牲者を悼む慰霊碑「時忘れじの塔」で、母子像がスカート姿であったこと(海老名香葉子さんも当時のモンペ姿が常識であったこととの違和感にびっくり。「戦争や平和をイメージする物は許可できない」としてスカート姿に変更された。と聞きますが、戦時下当時のスカート姿は非国民と呼ばれたでしょう)が、驚きを禁じ得ません。

2026.3.11

「日本で一番美しい県は岩手県である」

愛聴しているラジオ番組「大竹まこと #ゴールデンラジオ」(文化放送)で紹介されていました(3月3日) 。小生も岩手ファンですが著者の三浦英之さんの熱い語りに思わず購入。
自分も旅で訪れた地名が次々とでてきますが、本書には岩手のみでなく青森や秋田のことも登場する東北礼賛の書です。

 
 

2026.3.7

息子よ、新聞をまたいで歩くでない。


今、東京新聞朝刊に連載中の「私の東京物語」渡辺一技さんの「物語」を楽しみにしています。
そんな中、第5話「小平にチベット人留学生を迎えて」の中に、チベット旅行時のガイドが日本に来て、草の上に敷いた新聞紙に自分たちは座っても、彼は座らなかった。との下りがありました。
「文字は経典翻訳のために考案されたから尊いもの」とチベット人の常識が紹介されていたのです。
これを読んで小学生の頃を思い出しました。
大正13年生まれの親父も、小生が新聞をまたいで室内を歩くとばち当たり!と叱られました。この記事を読み何故か嬉しくなりました。

2026.3.6

「よもの海 みなはらからと 思ふ世に など波風の たちさわぐらむ」

「コンビの研究」(半藤一利・著、文芸春秋社、1988年5月)
一読しての感想は、これはもう一つの「失敗の本質」ではないか、と思いました。
本来本書は郷土出身の辻政信及び石原莞爾と同郷の服部卓四郎という辻政信とのノモンハンコンビのことを深堀したいとの思いから手に取ったものでした。
しかし「服部卓四郎と辻政信」以外にも「河辺正三と牟田口廉也」や「永野修身と杉山元」、「山本五十六と黒島亀人」、「南雲忠一と草鹿龍之介」、「東条英機と嶋田繁太郎」などなどで沢山の教訓が綴られています。

 
 

特に「永野修身と杉山元」の章にあった、明治天皇が日露戦争時に詠んだいわゆる御製の歌
「よもの海 みなはらからと 思ふ世に など波風の たちさわぐらむ」
世界は皆兄弟姉妹と思われるのになぜ波風が立つような争いごとが起こるのか、といった平和を願う歌ですが、昭和16年9月6日の日米開戦の是非を問う御前会議では、
昭和天皇が異例の発言を行い、この明治天皇の歌を詠みあげたといいます。
明治天皇、昭和天皇の開戦回避、平和への願いが汲み取れます。
また「天皇と大元帥」の章では、天皇であり陸海軍を統率する大元帥でもある天皇の2つの顔について述べられており、これまでの二人のコンビについてとは別の、最後の章を締めくくる構成にも惹きつけられました。

2026.2.20

「辻政信の真実、失踪60年-伝説の作戦参謀の謎を追う」

前田啓介・著、小学館新書、2021年6月
著者は読売新聞東京本社文化部から金沢支局に異動してきたことをきっかけに、これまでの戦争に関連した取材経験をもとに、本書を自身初の著作として仕上げていますが、さすがです。よく取材し、まとめられています。
本書の「おわりに」では
「褒めもせず、けなしもしない」姿勢で取材した結果としては
「結局、辻政信という人間が何者であったのか、さいごまでつかみきることができなかった」
「戦争について考え続けるべき、辻という人物についても同じことが言える」
と締めくくっていますが、辻政信の光と影を学ぶ良書といえます。
特に小生が一番知りたかった故郷石川県関連においてもその取材力に感銘致しました。

 
 
 
 

2026.2.19

「活字博物誌 」

椎名 誠、岩波新書、新赤版 586、1998年10月
小生の二十歳の誕生日は、とある山小屋で迎えました。
ちょうど4月下旬から10月末までという山小屋の営業期間中に小屋番の一人として働く好機をいただいたわけですが、当時電話や電気などもなく(公衆電話と郵便局が7,8月の夏山シーズンのみ開設、電気は発電機による自家発電)、下界との接点といえばラジオくらいで、入山時の個人装備の量が制限される中、持ち込んだ文庫本数冊はすぐに読み切り、5月下旬からは活字に飢えるという貴重な体験をさせていただきました。

 
 

山小屋にあった書物は分野を問わず、古新聞、お客さんの残した食品の梱包やパッケージの説明書きにいたるまであらゆる活字を読み漁り、新聞も告別式の案内から記されているもの全てに目を通し、その過程で疑問に残ったことはノートに書き留め、シーズンが終わって下山、下界での生活の中で午前中は県立図書館、午後は市立図書館とノートに盛り込まれた疑問の数々を解消していくという贅沢な青春を送ることができました。
後年、これが所謂社会人となってたいへん役に立ち、幅広い分野の雑学が結実していく形になり、今という自分の形成にいたりました。
インターネット全盛の時代では考えられませんが、欲しいものや知りたい情報、読みたい本がすぐに手に入らないという境遇は、まさに飢えを知り、空腹から満たされることを経て喜びとなり、それが血となり肉となり知識を醸成していくという人格形成の過程を体現できたことになります。
さて椎名誠の本書(岩波新書とはびっくり)は、とある日本海側の図書館のいわゆるリサイクル本として、ご自由にお持ちくださいコーナーからいただいてきたものですが、本書の扉にあるようにシーナワールドからの「活字の海からの贈り物」です。読み進んでいく中で、椎名誠も活字に飢える体験を通して生きてきたことが実感できる一冊でした。

2026.2.13

「潜行三千里 完全版」 辻政信

「失敗の本質」「ノモンハンの夏」に触発されて、同じ郷土の辻政信を深堀するため、まずは先入観抜きにして彼の手記(毎日ワンズ、2019年7月)を選んでみました。
読み進んでいくうちに連想したのは「天路の旅人」(沢木耕太郎、新潮社、2022年)です。こちらは沢木耕太郎が本人から聞き取りや取材したものからまとめ上げられていますが、「潜行三千里」は本人自身によるもので、どちらも僧に化けた軍関係者による潜行記になります。
ただ、前者の西川一三は帰国後、市井の人として過ごした一方で、辻政信は国会議員にまで就き、影に潜むことなく陽の舞台に出ているように、似て非なる二人の本です。

 
 
 
 

特に辻の場合は
「腸(はらわた)を千々に裂かれるような苦悶の後、一人で大陸に潜り、仏の道を通じて日タイ永遠のくさびになろうと決意した」
「大きな希望を抱き、日華合作の第一歩を拓こうとしてきた」というものの
本人曰く
「妻に死ねと教えられるほど、敗戦後腹も切らずに潜行していることが平素の言行と一致しなかったのである。戦犯を逃れるために命を惜しんで潜ったものと人に笑われ、妻子がひけ目を感じていることは察するに難くはない。このことを十分覚悟しての潜行三千里の旅であるが、卑怯者とののしられることの苦痛を、これ以上まだ忍ばねばならないのだろうか。」のとおり、やはりどう読んでみても戦犯からの逃亡です。
また「失敗の本質」ではないものの、本人もこの手記の中で失敗の要因を数々のベている他、巻末の「我等は何故敗けたか」(潜伏中に日本の留守宅に届けた6冊のノートの一部から。死後に開封せよといわれていたものを没後50年を機に公開)では、その失敗要因について8つの項目を揚げています。
最後に「第八に、戦略を誤ったことは何としても我ら軍人の特に上層中枢部の責任である。」とありますが、ではその責任の取り方については疑問を残したまま本書は結んでいます。
国会議員としてどういう失敗を繰り返さないための活動をしたのかなど、さらに深堀にしてみたいと思いました。

2026.2.11

「ノモンハンの夏」 ‎

半藤一利 (文藝春秋社、1998年04月)
本書の読書のきっかけは当ブログでも紹介の「失敗の本質」ですが、一読した感想としてはノモンハンの出来事(1939年、昭和14年)は、その後の大東亜戦争の縮図であるということでしょうか?
同じことを繰り返していますね。
さらに森友学園問題の財務省の体質と当時の陸軍はおんなじじゃないかとさえ思います(責任処遇についてものノモハン事件の服部中佐、辻少佐の左遷はほぼ1年で終了し、のちは栄転です。財務省も口を閉ざし続けた者には厚遇ですよね)。
正しいか正しくないか、目的は何か?ではなく一度走り出したらとことん隠ぺいや虚偽を繰り返し自己保身を繰り返しながら国民を無視愚弄していく展開。

 
 
 
 

本書の帯にある「このエリート集団が 己を見失ったとき 悲劇は始まった」とありますがまさに財務省のことではないでしょうか?
大元帥(天皇)の軍令大権の発動を無視、すなわち天皇をだますことが天皇に奉仕という奇天烈思考。
自らの失敗や過ちを認めようとはせず、事件の責任を問う処断の甘さ。
現代においても繰り返されている「失敗の本質」であります。

2026.2.6

「教会建築家・鉄川与助の生涯 同居の孫が見た素顔」 ‎  

鉄川ひろ子 ・著(海鳥社2022年8月)
天草の初訪問で訪れたのがたまたま潜伏キリシタンの世界文化遺産である崎津集落の崎津教会でした。なんとこの教会の施工者が、2021年7月に城巡りの師匠と訪れた五島の堂崎教会堂(副棟梁として)と同じ五島出身の大工・鉄川与助(1879~1976)であることを知り、鉄川与助を紐といてみました。
本書によれば教会28、教会関連施設19、学校18、住宅6、公共施設5、寺院3,医療施設3,全部で82を手掛けたそうです(教会のみならず寺院があるのも面白いものですね)。
本書で知った教会の天井の様式「リブ・ヴォールト(コウモリ)天井」についても、次回教会訪問時にはよく観察してみたいと思いました。

 
 
 
 

凄いのは日本建築学会がコンクリート造りの工法を発表(昭和4年、1929年)よりも前の大正11年(1922年)には鉄筋コンクリート3階建ての「長崎神学校」を建設したといいます。大変な勉強家ですね。コンピューターが存在しない時代のリブ・ヴォールトの構造計算といい、驚きます。関東大震災(大正12年、1923年9月1日)以降、日本ではコンクリート建築が広まったといいますが、長崎神学校はその前年です。
また大浦天主堂に隣接する「旧長崎大司教館 」(設計はド・ロ神父、施工は鉄川与助、1915年、大正4年竣工)についても、本書では長崎の原爆投下の際でも破壊されることなく「瓦1枚すらも落ちなかった」とあり、訪ねてみたいものです。
ちなみに原爆で倒壊した浦上天主堂の再建(1959年、昭和34年)の設計は与助の長男の鉄川与八郎(施工は鉄川工務店)だそうです。

2026.1.30

それでも、日本人は「戦争」を選んだ

加藤陽子・著(朝日出版社)
読了後、やはり「それでも、日本人は”なぜ”「戦争」を選んだ」のかという疑問は解けませんでした。
とくに「それでも」に該当する箇所への疑問が続きます。
「第4章・満州事変と日中戦争」「満州事変と東大生の感覚」の中に、1931年の東京帝国大学の学生に対するアンケート「満蒙に武力行使は正当ありあ」(9月の満州事変勃発の前の7月実施)で「はい」との回答が88%とあります。

 

驚くと同時に、やはり当時のマスコミの論調やプロパガンダに注目せざるをえません。かくも国民とは空気といえばいいのでしょうか?マスコミの論調などに流されていくのか?
これはユーチューブ等のSNSなど現在でも続いている問題です。「ウソは真実の6倍の速さで拡散する」という本もありますが(中川淳一郎、稲熊均著、2025年中日新聞社)、人は極端な論調に傾斜していくものなのでしょうか?
 
本書は2007年の年末から翌年の年初にかけて、神奈川県の中高一貫の私立学園(男子校)の生徒を対象に行った講演をまとめものですが、質疑応答を含め生徒たちはよく学んでいるなと感想を持ちました。そして当時から20年近くを経て、この生徒たちの今の政治や国際状況に対する思いはいかに?とも思いました。
 
本書の「はじめに」に「社会民主主義的な改革要求は既存の政治システム下では無理だということで、疑似的な改革推進者としての軍部への国民の人気が高まっていったのです。」とありますが、現在においても非正規労働者や低所得者、若年層の間に社会システムや格差社会の改善が一向に見られない状況下、外国人排斥や軍備拡張などへ聞こえのいい、声の大きい主張へ、社会問題のすり替えや右傾化への傾斜が進まないか?たいへん危惧します。
同じく「はじめ」には「国民の正当な要求を実現しうるシステムが機能不全に陥ると、国民に、本当に見てはならない夢を疑似的に見せることで国民の支持を獲得しようとする政治勢力が現れないとも限らないとの危惧であり教訓です。」とあります。
タケモトピアノCMの最後、財津一郎「その通~り」が聞こえてきます。
「もっと もっと 軍備費」に乗せられ、「みんなまーるく 平和の気持ち」を「売ってちょうーだい」に乗って売ってはなりません。

2026.1.16

「軍国主義という病がひそむ国 保阪正康講演録」 ‎

東京新聞出版(中日新聞東京本社))(2025年6月)
今年最初に読み終えた本です。
昨年発売された頃に図書館へ予約を入れましたが、すごい予約が入っており、気長に待っていましたが、年明けようやく順番が回ってきました。
まあこのような本が沢山の予約待ちという状況はある意味嬉しいことではありましたが、一方でこの本の発売時期以降、一段と軍靴の音が大きく近づきあります。

 

この本から初めて知ったことの一つは
旧軍人への恩給は階級による格差があるということでした。(ドイツの恩給制度は一律で日本のような階級による格差はない)
また軍籍12年以上の軍人が対象で、召集されてしばらくして戦死となれば対象とならず、事実上職業軍人が対象者といいます。
ちなみに本書にも民間人の戦争被害者には何の補償もないことが指摘されていますが、私の知る限りではドイツやイタリア、英国では空襲などによる民間人戦争被害者にも補償があります。
戦争は誰のため、何のために行われ、被害の想定や戦後を見据えた戦略のもと始まるのでしょうか?
日本の戦争は軍人のため(特に上層部)に行われ(制度設計も)、しかも彼らのほとんどは裁判による死刑をのぞけば戦後も、のうのうと生きて恥をさらしていた(戦争遂行者としての過ちの検証や、未来の過ちを防ぐための記録の積み上げ作業のサボタージュ)事実は何を示唆しているのでしょうか。責任の取り方が間違っていませんでしたでしょうか?責任とは自己保全のためでなく、国民や未来への責任です。
かたや、お国のためと犠牲になってきた民間からの召集軍人や学徒出陣により青春を奪われた学生軍人。沖縄戦や空襲、原爆投下によって犠牲を強いられた多くの民間人。
タモリがいった「新しい戦前」の今こそ、歴史を学び国が誤った道にすすまないよう、国民のひとりとして心していかねばなりません。
特に愚策を企画展開、責任を逃れてきた参謀連中については更に今年の読書の課題としていきたいと想っています。
「撤退」を「転進」に、「全滅」を「玉砕」に言い換え、現実にウソをつき続けてきた風習は今の政治にも受け継がれています。
知人、友人といった身近なところでも、もっと中国にはガンガンやれなどや、軍事予算の拡大、兵器輸出賛成と平気で口にしている光景が増えてきています。まさに新しい戦前を感じます。同じ過ちの一歩一歩を強く感じます。
そもそも食糧自給率の低さ、後発医薬品を中心とする医薬品原料の輸入依存度の高さ、これらはいずれも中国に多く頼っているのが現状です。
これら食糧や医薬品原料の輸入が完全にストップした場合を想像したことがあるのでしょうか?ジョン・レノンの「イマジン」を彷彿とさせます。戦わずして負けているのです。
いざ戦いともなれば原発を標的に多数のミサイルやドローン攻撃をしかければ簡単に日本は滅びます。にもかかわらず原発を増やそうとする現実。国防増強と称し武器を増やす前にやるべきことは明々白々です。
医療費を削り、社会保障費などの国民負担を上げ防衛費を増強。この愚策を私達はストップさせ(選挙という手段があります)賄賂政治、(国民ではなく経済界を優先させそこからの献金は賄賂以外の何物でもありません)からの脱却をはかるべきです。
経団連は「政策評価」によって献金という名の賄賂の効果を検証しています。一方自民党は企業・団体献金によって政治がゆがめられたという事実はないとうそぶいています。
事実があったか無かったは賄賂を受けた側が判断することではありません。個人への献金ではなく政党支部への献金なら問題なしという仕組み・悪知恵も国民をバカにしています。
まったく2026年も国民有権者はバカにされ続けるのでしょうか?

2025.8.6

美童(みやらび)物語(講談社)

 
「戦場の現実と正体・漫画家たちの戦争」(金の星社)に掲載されていた)比嘉慂(ひが すすむ)の作品に触発されて、同氏の単行本(講談社・モーニングKC、2007年2月)をとりよせてみました。
美童(みやらび)とは
「少女、乙女の意 もっとも美しく輝く年代に入った少女 
また小さな女の子の成長に寄せる美しさもいう
(中略)
美しさとは特定の美形を指すのではなく、思春期の少女の持つ感受性の豊かさ、優しさの深さをいう」
と表紙の見返しにあります。

 

収録されている作品は
「風葬」
「ジュリ馬」
「方言札」
「仁政(じんせい)叔父さん」
の他に2点のエッセイ「おきなわ離島散歩」(南大東島と久高島)があり
「南大東島 流れ女」には”石川県にもいたというフィリピン人ホステスが
「ここは海ばっかり、ジャスコもないから好きじゃない」と細い歯を見せて笑った”
とある個所が印象的でした。
さて掲載の作品はノロ(女性司祭者)の家の娘・海里カマル(作品の中心)が13歳の時から始まります。
比嘉慂の裏表紙の折り返しには「沖縄の風土が醸し出す物語を描写しているのに過ぎない」とありますが、そこには米軍との沖縄戦を迎える前までの沖縄の人々の暮らしと心情を丹念に綴りながらも沖縄人(ウチナンチュ)の立ち位置が描かれています。
(作品中には「戦争になれば沖縄はヤマトの防波堤の役目」とあり今も同じくと思いました)。
「方言札」の最後には
「沖縄戦において
 沖縄の言葉(方言)は深刻な事態と直面した
 沖縄守備軍は戦場で方言を喋るものは
 間諜(スパイ)扱いとする通知を各部隊に出したのである」
とあります。確かに調べてみると
沖縄守備軍の第32軍司 令部は1945年4月 9日、各部隊に対し 軍人軍属を問わず「沖縄語」を使えばスパイとみなし処分する、と指示しています(これに先立ち住民を監視する特務機関も極秘に結成しています)。
なにやらロシアもこの日本軍のやり方をウクライナの占領地で実践していますね。
またこの作品群を見ているとヤマトンチュ以上に「日本人としての誇り」を意識するウチナンチュの「誇り」や「矜持」を感じます。
「日本人ファースト」という言葉が何の意味も持たないうすっぺらなものに思えます。
最後に「方言札」に登場した沖縄民謡「浜千鳥」をユーチューブで鑑賞しましたが、あまり触れ合う機会が少ない沖縄民謡の中では一番好きな民謡となりました。

2025.8.3

「戦場の現実と正体・漫画家たちの戦争」(金の星社)

 
「戦争の傷あと」に続く「漫画家たちの戦争」(金の星社)からの一冊です。
 
【収録作品】
水木しげる「白い旗」初出:「月刊ガロ」1968年5月号
 実際に激戦地ラバウルで左腕を失った戦場体験を持つ水木しげるが描く戦争にはそれなりの重みが十分あります。
 ゲゲゲの鬼太郎だけではなく一貫して戦争の愚かさ、虚しさ、悲惨さを発信し続けた表現者の1人であります。

 

手塚治虫「大将軍 森へ行く」初出:「月刊少年マガジン」1976年8月号
 読者の手引きに「正しい戦争などない」と訴える作品を手塚治虫は多く残したとあります。そのうちの一つですね。
 
楳図かずお「死者の行進」初出:「週刊少年マガジン」1967年42号
”戦争怪奇まんが”とありどんな”怪奇”が待っているのかと想えば、追い詰められた現場、最前線の人間の行動や思考が”怪奇”なのですね。
 
古谷三敏「寄席芸人伝 噺家戦記 柳亭円治」(脚本協力・あべ善太)初出:「ビッグコミック」1981年8月25日号
 冒頭に台東区寿町にある長瀧山 本法寺が登場します。
 太平洋戦争が始まる前の昭和16年10月30日に、時局にあわないといわれた50余種の落語が禁演落語として、境内の「はなし塚」に葬られたことからこの漫画が始まっています。将来を嘱望された柳亭円治にのもとに召集令状が届き、やがてニューギニアの地に果てたストーリーです。このあたりのことは寄席芸人伝10「噺家戦記 柳亭円治」にも詳細が掲載されています。
 昭和21年9月30日に本法寺のはなし塚の禁演落語の封印が解かれたそうですが、戦争が殺した多くの才人は戻ってはきません。
 作品の最後のコマには「時代に踏みつぶされた噺家、柳亭円治を知る人は少ない。」と締めくくられています。
 
松本零士「戦場交響曲」初出:「週刊少年サンデー」1974年29号
 古谷三敏「寄席芸人伝 噺家戦記 柳亭円治」の柳亭円治もしかり、この松本零士の作品に絵があれている作曲家もしかり、戦争とは多くの芸術家を犠牲にします。この作品の読書の手引きにも「実際にいた戦場に消えた作曲家」を紹介しています。
 
比嘉慂(ひが すすむ)「母について」初出:「ビッグコミック」増刊号、1994年9月
 比嘉さんは那覇出身だけにやはり沖縄戦についての作品には芯のある作風が特徴。
 この「母についても」目線が民間のしかも母親目線で戦争の実態が映し出されており、某参議院議員には是非読んでもらいたい作品でしょう。
 
白土三平「戦争 その恐怖の記録」初出:「ボーイズライフ」1963年5月号
 
秋本治「5人の軍隊」初出:「週刊少年ジャンプ」増刊号、1979年8月
 
しかし少年マガジンやサンデー、ジャンプといった漫画雑誌がこれらの作品を多く取り上げてきた業界としての姿勢にも感銘します。現在ではどうなのでしょうか?

2025.7.18

「戦争の傷あと・漫画家たちの戦争」(金の星社)


金の星社(1919年・大正8年設立。子供向け書籍業界では最も長い歴史を持つ)のシリーズ「漫画家たちの戦争」(全6巻)のうちの一冊(2013年)です。
軍人以外の戦争に巻き込まれた市民や子供たちを描いた作品を集めたものです。
【収録作品】
藤子・F・不二雄「ドラえもん」から「ぞうとおじさん」
樹村みのり「雨の中のさけび」
手塚治虫「すきっ腹のブルース」
北見けんいち「焼けあとの元気くん」
今日マチ子「cocoon 暗闇とペン先」

 

巴里夫「愛と炎・東京大空襲」(原作・さわさかえ)
西岸良平「三丁目の夕日 台風の夜」
北条司「少年たちのいた夏 〜Melody of Jenny〜」
滝田ゆう「寺島町奇譚 日和下駄」

 樹村みのりの作品が収録されています。
 収録作品は「雨の中のさけび」(初出は集英社の「りぼん」1965年8月号付録)ですが、1965年8月といえば樹村みのり15歳の作品。デビューは中3の13歳時ですから初期の作品ですね。
作品中にある
「悪いのは この戦争という 大きな怪物なんだ
 この怪物のために たくさんのよいことが 悪いことになったり
 よいことが 悪いことになったり
 よい人が 悪い人になったり しているんだからね」
とあります。子ども視点からの鋭い言葉ですね。

 他の作品では「ドラえもん」では戦時下で殺された動物園の象をテーマとしています。
 思わず秋山ちえ子の「かわいそうなぞう」を連想しました。
ちなみに「かわいそうなぞう」の原作は土家由岐雄(金の星社)で、英語翻訳版の朗読はシンディ・ローパーだそうです。

 また今日マチ子の作品からは映画「ひめゆりの塔」にあった場面と重なります。
 なお、ひめゆり学徒隊を扱った戦争漫画「cocoon」はNHKによりアニメ化。3月にBSで放送されたあと、この8月15日には地上波でも放送されるそうです。

 巴里夫(ともえ さとお)の「愛と炎・東京大空襲」は、小生のサラリーマン時代の通勤の足だった地下鉄・東西線で見つかった白骨死体から始まる作品。
 この中で私自身かねがね疑問どころか、とてつもない違和感を感じ続けてきた約10万人の犠牲者を出した東京大空襲を指揮したカーチス・エマーソン・ルメイが、昭和39年(1964年)に勲一等旭日大綬章を授与されたことも描かれています。
 もちろんこの勲章は10万人が殺された日本から殺した側への授与です。
 昭和天皇は通例の直接手渡す「親授」を拒否したというが、当然でしょう。
 その感覚こそが普通であって、この授与を決定した佐藤栄作内閣及び推薦したという当時の防衛大臣、小泉純也(そう小泉純一郎の親父)防衛庁長官の感覚こそどうかしています。

 なお、収録作品の中で最も私自身の高評価作品は「『キャッツ♥アイ」や「シティーハンター」で知られる北条司の「少年たちのいた夏 〜Melody of Jenny〜」です。

2025.7.17

「彼らの犯罪」(樹村みのり)

「人間はどこまで残酷になれるのだろうか」を問いかけ実際に起きた犯罪・事件をベースに描かれた短編マンガ集。
岩波現代文庫(2021年)
冒頭は埼玉や東京を舞台にした女子高生ドラム缶コンクリート詰め強姦暴行殺人事件。誰しもがピンとくる凶悪犯罪を描いた本のタイトルと同じ「彼らの犯罪」(初出「ROSA」(少年画報社1992年12月号)。
もちろん「彼ら」とは犯罪に関わった少年ではあるが、その「彼ら」の犯罪を助長とまではいかなくても、容認、見過ごしてきた大人たちも含めての「彼ら」であろう。

 

2番目はオウム真理教による地下鉄サリン事件(1995年)の2年前にカルト集団を描いた「夢の入り口」(初出「Belle ROSE」(少年画報社)1993年9月号)。
この国は統一教会と政治家の関係も、うやむやにしたいのであろうか?

3作目は「親が・殺す」(初出「ROSA」(少年画報社1993年3月号)。

これに樹村ワールドがちりばめられた「横からの構図」と、「為政者はなんでも2度経験しないとわからないのかしらね」と締めくくられた福島原発事故による「保養」を描いた「明日の希望」(描きおろし)が掲載されています。
もちろん福島の原発事故のあと事故は起きていませんが、既にいつの間にか原発が重要なベースロード電源と位置づけられ(2014年閣議決定、福島の時からたった3年しか経過後とは驚き)というように、2度目の事故の懸念が無視されている風潮に一石投じる作品です。
いざとなったら政府は国民に都合の悪い情報は隠ぺい。あの米軍、在日米国大使館、米原子力規制委員会(NRC)にも提供されていながら放射性物質拡散予測システム「SPEEDIのデータ公表は国民には伏せられた事実。
そんな国家の衰退に「明日の希望」を見つけられるのでしょうか?

2025.5.14

メタセコイヤ◆戦争で集団疎開した子どもたち◆

4月末に訪れた旧長井小学校ですが、戦時中長井に疎開した江戸川区の学童からの聞き取りを元にした物語です(「桑の実会」が協力、桑の実は疎開当時学童の空腹をみたしたことから会の名前に)。
江戸川区内の国民学校の疎開先が山形県と発表されたのが1944年(昭和19年)7月で、その第一団が8月に温海町(現鶴岡市)、第二団として小岩国民学校など6校の学童199人が長井町に疎開。
本書を読んで初めて知ったのが、学童疎開の月額費用の半分は当初は親の負担だったことです。その負担ができない過程の子供たちはいわゆる「残留組」として東京に残らされたといいます(その後、昭和20年3月の東京大空襲を受け残留組に対しても疎開命令)。

 

またその東京大空襲では隅田川と荒川にかこまれた東京の町に落とされた焼夷弾はたたみ1枚当たり6発以上とあり、そのすさまじさがよくわかります。
この大空襲で進学や卒業のため山形から東京に戻った学童の多くも命を落としたそうです。
長井には大空襲を受け第三次の学童集団疎開が到着し、疎開児童の総数も400名を超えたといいます。長井国民学校の児童数も3000名超え。また宮内町(現南陽市)にも小松川の学童300人以上が疎開していたことも知りました。
写真は旧長井小学校と1975年に桑の実会が記念植樹したメタセコイヤ(左)と江戸川区の篠崎公園のメタセコヤ(右)。
著者のさいとうよしこ(斎藤淑子)さんは長井小学校の卒業生、発行は早稲田童話塾 (2016年)。

2025.4.19

「NUBA」Leni Riefenstahl写真集


今のトランプ米大統領を見ているとヒトラーを連想する人が多いと思います。
移民政策、人種差別、LGBTQ+(性的少数者)関連施策の撤回、「多様性・公平性・包括性(DEI)」政策の見直しがまさにそれ。
ヒトラーといえば今上映中の、ヒトラーのプロパガンダを主導した宣伝大臣ヨーゼフ・ゲッベルスを描いた映画作品「ゲッベルス ヒトラーをプロデュースした男」も必見の作品。
数年前に「手口に学んだらどうか」と発言し物議をかもしたオッサンがいましたが、ヒトラーに学ぶのは政治手法ではなく、教訓であることを、この政治家は政治家たる以前にわきまえるべきであろう。
もう一つ、ヒトラーに関連といえば22歳の時に購入した本が表題レニ・リーフェンシュタールの写真作品集(PARCO出版、1980年)。
アフリカのヌバ族の活き活きとした写真に魅せられ、当時5,300円という人生最高額の書籍を購入したことに自分でも思い切った買い物をしてしまったと驚いたものです。
女優、映画監督、写真家であるレニ・リーフェンシュタール。
ナチス党大会の記録映画「意志の勝利」(1934年)やベルリンオリンピックの記録映画「オリンピア「(1938年、日本では「民族の祭典」及び「美の祭典」)の製作者だ。
ナチ独裁を正当化したとか、国威を発揚させるプロパガンダ映画の製作者でもあったことで、当然戦後は非難や裁判にもさらされていますが彼女の才能には揺るがないものを感じます。
「NUBA」購入してから45年ほどになりますが、今でもページをめくるたびに惹きつけられます。
願わくばトランプが類いまれない才能を持つ者を政治利用することがないように。

2025.3.3

「湖底の大地・雑草を照らす 智慧の光に出逢いつつ」

 
とある方の追悼本の中に登場した詩の作者、藤場 美津路さんの生まれ故郷、桑島の想い出などを綴った本です(1992年北国新聞社)。
ダム建設のために湖底に沈んだ桑島は、その前に中学生の頃、自転車で白峰に向かう途中に訪れ、丸い校舎が記憶に残っています。
ご主人(藤場常清さん)の「ご縁のある方々読んでやってください」の通り、ご縁に導かれページをめくらせていただきました。

 

2025.2.12

阿・吽


東京新聞1月18日付夕刊に「生誕1250年 空海を知る」として紹介されていたおかざき真里さんのコミックです。
(2014年から月刊誌に7年にわたって連載した作品の単行本)
漫画としてはたいへん難しく、壮大な対象をどう描くか?大変興味が湧きました。

紙面には、おかざきさんの「手を出して失敗した」とか「大上段な思想の解説をしない」「わからない人間がわからないなりに描くのが正しい」とありますが、小生も家出カーに「南無大師遍照金剛 同行二人」とのステッカーを貼り、大師様の御真言と共に旅することを心がけているだけに、さっそく小学館から発行されている14巻を手にしてみました。
空海と最澄が「レールの上を歩けない男達」として始まります。
結構展開が幅広く、かつもともとは雑誌連載の単行本版化ですから、単行本化により注釈の文字が小さくなり、苦戦しながらの同行二人です。

 

2025.2.7

昭和100年、敗戦80年


毎年購入している「広島平和カレンダー」ですが、今年は軍都・広島の中心で広島城の近くにあった小学校の特集「白島(はくしま)が消えた日」です。
カレンダーによれば広島城は日清、日ロ戦争を経て軍隊の司令部(第5師団司令部)となり、周辺には軍の関係施設が次々と増えて行ったそうです。
そして白島尋常小学校(白島国民学校)も1944年には1階が軍に接収されています。
当然、軍都を狙った原爆投下(爆心地から白島国民学校は1500メートル)では大きな被害が避けられませんでした。
カレンダーとはいえ貴重な資料で、発行に携わる人々には畏敬の念を抱かざるをえません。
今年は昭和100年、広島、長崎への原爆投下、敗戦からも80年を迎え、各方面で100年、80年特集が組まれています。
定期購読している「ぐーすー月刊とくし丸」も同じく「その時あなたは」として体験談を特集していました。
昨年の「広島平和カレンダー」

2025.1.27

丁度よい

お前はお前で丁度よい
顔(*1)も体も名前も姓も お前にそれは丁度よい
貧も富も親も子も 息子の嫁もその孫も それはお前に丁度よい
幸も不幸も喜びも 悲しみさえも丁度よい
歩いたお前の人生は 悪くもなければ良くもない お前にとって丁度よい
地獄へ行こうと極楽へ行こうと 行ったところが丁度よい(*2)
うぬぼれる要もなく卑下する要もない 上もなければ下もない 死ぬ(*3)月日さえも丁度よい
 
仏様と二人連れの人生 丁度よくないはずがない
丁度よいと聞こえた時 憶念の信が生まれます
南無阿弥陀仏(*4)
 
交友のある某大学山岳部のOBの方々との会話の中で、時折耳にしてきたNさん。
そのNさんを追悼する本の中で何度も出てきたのが冒頭の詩です。
故郷・石川県野々市にある真宗大谷派常讃寺の坊守(ご住職の奥様)であられた藤場 美津路さんが、お寺の寺報「法友」(1982年2月号)に掲載された詩で、Nさんのお別れの会でも奥様よりこの朗読があったそうです。
この詩の作者を探す下りが、追悼本の中でも詳細述べられており(現在のネット検索が一般的となる前の時代でありその苦労がうかがえます)、追悼本の中では藤場 美津路さんがダムに沈んだ桑島のご出身であることもわかり、人の生きた物語の連鎖を感じます。
 
写真は宇治の南條工房さんの佐波理(さはり)おりんの「LinNe」と共に。
 
*1、追悼本では顔が頭 *2、追悼本では「行ったところが・・・」は無し
*3、追悼本では「死の」  *4、追悼本ではこの3行無し

2024.8.06

月間「とくし丸」特集「残したい記憶」


79年前、広島に人類最初の原爆が投下された8月6日、「ぐーすー月刊 とくし丸」が届きました(とくし丸は利用していませんがこの月刊誌は定期購読、なにせスーパーがほぼ隣)。
今月号の特集は「残したい記憶」として戦争の特集です。
各地の販売パートナーさん(とくし丸の人)の協力のもとの取材だったそうです。
冒頭は水上特攻艇「震洋」隊員だった田中袈裟翁さんの「愚かな戦争だった」という十代の「残したい記憶」でした。ここで思い出したのが、9年前に訪れた長崎県川棚町の「特攻殉国の碑」です。

2024.7.27

“菅江真澄”、「馬が動かした日本史」読後録・2


引き続き蓮池明弘さんの文春新書からの読後録です。
名馬の産地東北北部の南部馬は「糠部(ぬかのぶ)の駿馬」として多くのページを割いておりますが、東北の旅といえば当ブログでもたびたび登場の江戸時代の旅行家・菅江真澄を外すことはできません。
本書でも菅江真澄の南部馬に対する記述が複数個所に登場しています。

たしかに「菅江真澄遊覧記・3」(平凡社ライブラリー345、2000年)を開くと福山(北海道松前町)から奥戸(おこっぺ、下北半島の大間)に渡った菅江(1792年、寛政4年10月7日)は、多くの馬の群れを見るとともに牧についても詳細な記録を残していますね(牧の冬枯)。
また「菅江真澄 図絵の旅」(編・解説:石井正己、角川ソフィア文庫、2023年)によれば、菅江真澄は下北半島で2年余りを過ごしたといいます。
その後津軽に入りますが、下北、津軽では足かけ9年余り過ごしたそうです。
下北では「牧の朝露」(現むつ市の田名部から下北郡大畑)や「おぶちの牧」(大畑~田名部~尾駮沼)にも馬についての記述が沢山見られます。
ちなみに「牧の朝露」には下風呂の温泉で「越中の白山の辺の人や武蔵の国ほりかねの井(現埼玉県狭山市堀兼)の人など、たくさんの浴客にまじって語っているうちに」という個所がありなんとなく嬉しくなります。

菅江真澄が描いた大間
牧が描かれていますね。
「菅江真澄 図絵の旅」から

2024.7.25

”野にあって国家に尽くす”、「馬が動かした日本史」読後録・1


「火山と断層から見えた神社のはじまり」(双葉文庫、2024年)に続いて蓮池明弘さんの本書(文春新書、2020年)を読み終えました。
本書を手にした動機は当ブログ「フタマサ御酒堂の氷室饅頭」で取りあげた、日本に百済から初めて馬が伝わったともいわれる馬渡島(まだらしま)についての記載がないかを求めてのことでした。
残念ながら目的の記述はありませんでしたが、逆に多くのことが学べる秀作でした。
まずは5月に訪れた尻屋崎の「寒立馬」について、第四章「東北ー南部馬、その栄光と悲劇」の中の「下北半島の会津藩」に、斗南藩の苦労と共に紹介されていました。
当ブログでも「歴史に翻弄された斗南藩の史跡跡を訪ねてきました」として報告していますが、本書では斗南藩の広沢安任(ひろさわやすとう)が、英国人を雇い、現在の三沢市に拓いた日本初の近代洋式牧場「広沢牧場 (開牧社)」が取りあげられています。
試練の斗南藩において馬の放牧などで成功した例ですが、広沢安任については1876年(明治9年)、当地を訪れた大久保利通からの中央政府の要職登用への誘いを「野にあって国家に尽くす」と断り続けた逸話があります。
ちなみにNHK大河ドラマ「八重の桜(2013)」では岡田義徳が広沢富次郎(安任)役を演じていました。
寺山修司記念館と合わせ、広沢牧場の跡地の「道の駅みさわ 斗南藩記念観光村」を訪れなくちゃなりませんね。

2024.7.11

火山と断層から見えた神社のはじまり


まもなく夏休み。小中高校生にとって夏休みといえば課題図書がありますが、今年の小生の大人の課題図書は蓮池明弘さんの本書(双葉文庫、2024年)です。
蓮池さんの著作は当ブログでは既に「邪馬台国は”朱の王国”であった」(文春新書、2018年)を紹介していますが、今回は「神社のはじまりを考えるうえで、より大きな意味を持つのは、火山の惠みであると思うようになりました」としてテーマの中心に据えています。
火山の惠の一つに温泉がありますが、本書でも第三章で「聖地と温泉」として取りあげているほか、白山や故郷・小松の北陸最大級の弥生時代の環濠集落遺跡を紹介しているので読み進むのがたのしみです。
左の石は矢板在住の山岳部の先輩から頂いた黒曜石、これも本書にある通り火山の惠の一つになります。

2024.3.19

「天路の旅人」沢木耕太郎(新潮社)

2022年の発売以来、読んでみたい本リストに揚げていた単行本ですが、ようやくタイミングに恵まれ耽読させていただきました。
チベットやネパール、インド、中国西北部など自分も90年代に旅をした一部が舞台であることや、なんといっても西川一三の旅の姿勢に惹かれます。もちろんその姿勢は日本に帰り家族を持って以降も芯に貫かれていたと伺われ(生き様)畏敬の念を抱かざるをえません。
写真は1997年に訪れたチベットのデブン寺、セラ寺とショートン祭りでの大タンカ。本書でもチベットのデプン寺やセラ寺などや、小生も訪れたシガツェ、ギャンツェなどの地名が登場していました。

西川一三が扮していたラマ僧(チベットで1997年に撮影)やポタラ宮など

2024.3.4

旅のつばくろ

「旅のつばくろ」というそのものズバリの唄もあるようですが、私の場合真っ先に思い浮かぶのが「旅のつばくら 寂しかないか 俺もさみしい サーカスぐらし」で始まる西条八十作詞、古賀政男作曲の「サーカスの唄」という唄です(昭和8年)。
サラリーマン駆け出しのころ、お世話になった先輩がおはこの一つとしていた唄でもあります。
さて表題の本書(沢木耕太郎、新潮社、2020年はJR東日本の新幹線車内誌「トランヴェール」で連載されたものを単行本化したものですが(一般書籍店で発売されていた頃の「トランヴェール」は愛読誌の一つでしたが)、JR東日本ということでさすがに東北方面のエッセイが多く、特に出だしが山形県の遊佐から始まっており、嬉しさも合わせ快適に読み進みました。

以下の写真は2015年秋に訪れた、山形県遊佐の町民体育館の一角にある日本ユースホステル協会の立ち上げに加わり、日本歩け歩け協会(現日本ウォーキング協会)会長などもつとめた金子智一の顕彰碑とその伝記。

2024.2.28

「人は愛するに足り 真心は信ずるに足る」


「中村哲という希望」に続き「人は愛するに足り,真心は信ずるに足る: アフガンとの約束」(中村 哲 、澤地 久枝・聞き手、岩波書店、2010年)を一気に読み終えました。
対談の中で(p63)ブッシュ大統領((George W. Bush、第41代大統領)が、中村哲と同じ宗派(バプティスト)でありながら、聖書にある「復讐はするな」との教えを破り、2001年9月11日の同時テロへの報復を宣言し、報復爆撃を行ったことに対する記載がありました。
show the flagのもとで日本もその後の海上自衛隊の派遣など一気に「集団的自衛権」の容認につながっていったいきさつがあります。
調べてみました。聖書の「ローマ人への手紙 12:17-19」には復讐は自分で行うのでなく、神の怒り(神の制裁)に任せろとありました。米大統領の就任式でよく見る光景ですが、右手を掲げながら左手を聖書に置き、「神に誓って(So help me God)」と宣誓していますね。
さて西日本新聞に中村哲の特別サイトがありました。
「一隅を照らす 義侠心」

2024.2.25

「川筋の人、中村 哲」


引き続き「中村哲という希望」からですが、”第3章「義」に生きる”では「川筋の人、中村 哲」とあり「川筋」という言葉に興味がわきました。
「川筋」を調べてみると「川筋気質」という言葉もあり、石炭で栄えた筑豊を流れる遠賀川(おんががわ)の川筋に生きる人たちの気性を表す言葉とあります。
ここで旅の連鎖といいいましょうか、連想したのが当ブログでも紹介しています山本作兵衛の世界です。作品集の中にこの「川筋」に関連する作品がないかさがしてみいたところ、この遠賀川上流で小舟を操る船頭の絵がありました。
年末の旅では2年連続で田川市界隈を訪れてみましたが、次回の九州の旅ではこの遠賀川の川筋も訪ねてみたいものです。
なお、この川筋気質を体現した戦前から戦後の小説家として火野 葦平(ひのあしへい)がいますが、火野 葦平は中村 哲の叔父だそうです。代表作「花と龍」といえば東映の映画でも知られますが、個人的には戦時歌謡に転用された「麦と兵隊」が思い浮かびます。
ちなみにサラリーマン時代の取引先の米国人にkawasjeeという方がいました。

2024.2.24

中村哲という希望――日本国憲法を実行した男


佐高信&高世仁 共著 (旬報社 、2023年)。久しぶりに図書館でも中古本でもなく定価で購入した本です。
中村哲さんを知ったのは、あるテレビ番組でまずは、ヒンズークッシュへ向かう登山隊の医師として同行したことがその後の生き様のきっかけとなったことや、後年、座右の銘が小生と同じ「一隅を照らす」とわかり関心が深まりました。
多くの付箋を置きながら一気に読み上げましたが、いくつかその中から。
p147、「菊の代紋背負ってるやつらが一番悪いことをする」(佐高信)
まさに今の政権。
p207、若い頃の中村哲は精神科医ヴィクトール・フランクルを読み始めたといいます。代表作「夜と霧」ですが、「夜と霧」に初めて小生が興味をもったのは樹村みのりの作品だったと思います。
最後にp212の中村哲さんの言葉
「己が何のために生きているかを問うことは徒労である。人は人のために働いて支えあい、人のために死ぬ」小生自らに投げかけます。
 

2024.1.26

今年のヒロシマ平和カレンダーは「はだしのゲン」


ここ毎年取り寄せている広島平和教育研究所編集(発行・発売は広島県教育用品株式会社)は、久々の「はだしのゲン」です(これまでも何回かとりあげられていました)。2023年版。
パンフレットには”「新しい戦前」にしないための、ゲンからのメッセージ”とあります。
また「ご注文のお願い」の中にも昨年開催されたG7広島サミットに「被爆者や市民からは多くの失望の声が聞かれました」や、広島市教育委員会が「はだしのゲン」を「ヒロシマ平和ノート」の教材から削除したことに対する懸念がありました。
まさにその通りでないでしょうか。
政治にかかわる者たちや広島市教育委員会の全員に「はだしのゲン」を今一度読んでいただきたいものです。
よく記者会見の場で「誤解の与えることのないよう」との答弁がありますが、記者たちは「その誤解はどんな誤解なのですか?となぜ聞いてみないのでしょうか?
それって正解でしょっ!」となぜ突っ込みを入れることが出来ないのでしょうか?
「誤解」でなくそれが「普通の理解」である場合や、その一般的な解釈の中に歴史の深掘りと人類の過ちに対する考察の好機が待っているのではないのでしょうか?
「誤解のないように」なんて詭弁言い訳にすぎませんね。
そんな詭弁や言い訳を私たちは許してはなりません。

2023.12.21

「素敵な空が見えるよ、明日もっと」


リト@葉っぱ切り絵さんの絵本です(講談社、2022年)。
「はじめに」では「ようこそ、小さな優しい森へ」と始まり、7つの森の中に素晴らしい葉っぱ切り絵の世界が広がっています。才能って凄いですねー!
工作好きの弟子2号に「どや、出来るか?」とそれこそはっぱかけて工作心を刺激してみたいと思います。

左は今年2月に美術館閉館前に訪れた村上康成さんの「森へようこそ」。

2023.12.08

「台湾の少年 SON OF FORMOSA」


全4冊からなる台湾の現代史を個人の人生を通じて学べる良書に感銘致しました。
個人的には台湾は玉山(標高3,952m、日本統治時代の新高山、命名は明治天皇)、雪山(標高は3,886mで台湾で2番目に高い山)を登ったほか、台鉄で台湾一周一人旅などの経験や、映画「海角七号」(2008年)、「セデック・バレ」(2011年)、「KANO 1931海の向こうの甲子園」(2014年)を鑑賞した程度でした。
今回、改めて複雑な台湾の近代史を本書(岩波書店、全4巻、 游 珮芸・作 , 周 見信・作 , 倉本 知明・訳、2022年7月)を通じ学ぶことができました。
本書を知った経緯は文化放送の「大竹まことゴールデンラジオ」(2023年3月7日放送)で深澤真紀さんが紹介していたことです。現在YouTubeでも聞けます。
 
2.28事件、白色テロ(6千名に近い政治受難者がその罪名から解放されたのは2021年3月)などは初めて知りました。
なお、本書の中で特に感銘をうけたのは第3巻「戒厳令下の編集者」で主人公の蔡焜霖さんが児童雑誌「王子」を創刊するにあたっての言葉(王子創刊詩、p98)ですね。
「おそらく、君もかたい地面を突き破って出てきた新芽を見たことがあるはずだ。これほどもろい新芽のいったいどこに土を突き破る力があるのか不思議に思ったことがあるかもしれない。それこそが、大自然の奥義ー成長の持つ力なんだ!「成長」とは青少年の持つ特権で、生命にとって最も大切なものだが、そこには高いリスクもある。もしも種が長い時間をかけて栄養を保存していなければ、若い新芽に土を打ち破る力は果たしてあるだろうか?もしも新芽が悪戦苦闘しなければ、お天道さまを目にする日は果たしてやって来ただろうか?(以下略)」
 
また本の内容に加え装丁や絵、デザイン、レイアウト、構成にも賛辞を贈りたいと思います。

2023.12.06

「ともちゃんのおへそ」とちばてつや


「ともちゃんのおへそ」(発行・夢工房、2000年)の原作は、お世話になっている高知大学名誉教授のO先生の恩師であられた増田昭一さんで、ほかにも多くの満州引揚者の体験などの著作があります。
この「ともちゃんのおへそ」もその一冊ですが、漫画家のちばてつやが「戦争を知らない子供たちに」とあとがきを寄せています。
このあとがきにも、ちばてつや自身も大陸からの引揚者で、「ちばてつや 追想短編集 あしあと」(小学館、2021年)では「中国引揚漫画家の会」などを紹介しています。
同氏は6歳で奉天(瀋陽)にて日本の敗戦を迎えたそうです。
この短編集の冒頭作「家路」の表紙は「ともちゃんのおへそ」を彷彿とさせる他、7歳で引揚船に乗船できたという「コロ島」とは、当ブログ「満蒙開拓平和記念館で「一九四六」」で紹介した王希奇の大作「一九四六」その舞台そのもの葫蘆島です。

2023.12.01

SOUK(スーク)市場の中の女の子

城廻りの師匠が貸してくれた師匠の同窓生の経済学者・青木昌彦さんの「私の履歴書・人生越境ゲーム」(日本経済新聞出版、2008年)の中で、青木さんが書評とともに紹介していた本で、さっそく取り寄せてみました。
女の子でも男の子でも子どもに市場の経済学や文化の経済学を教えるというのは難しい課題ですが、果たして自分は子や孫たちにいかにして経済や経済学なるものを紹介できるのか、出来ていたのか、となります。
さしずめ息子には通勤と通学が重なっていたころに、自分の商売道具の一つであった経済紙を別れる駅までは先に読ませたり、大学に進学したければ自分でその費用捻出を考えろと突き放したことでしょうか?経済とは日々の暮らしそのものであり、寝る場所や食べることの問題に直面しない限りは経済とは身近な存在にはなりえません。

 

どうやって暮らす、どうやって学校に行く、どうやって食べて行くという身近な問題に直面してこそ、経済を肌に感じ学び考えていくものと思います。
また先日、弟子3号が友人と同じゲーミングPCを欲しいというので、すぐ買うのではなくその前にとしてレクチャーを行いました。PCの構成をノートに描き、どのパーツやソフトがそのPCのパフォーマンスにどのような支配力を持っているのかを示し、加えてネット購入の前に秋葉原に一緒に出向いて(弟子にとっては初めてのアキバとアルバのカレー)、いくつかの店舗で、様々なゲーミングPCを体験させるとともに、店舗のスタッフの対応などについても経験させることができました。モデルチェンジが激しい製品では買うタイミング、売りたい側が売りたい、売り急ぐ時が買うタイミングといった市場原理も教えたつもりです。そのような体験を通じ、迷った上で自分の欲しいゲーミングPCを選んでくれれば幸いです。さしずめ体験重視の経済学といったところでしょうか?
さて本書に戻りますが冒頭から「アフリカではたくさんの人が飢えで死んだり 中東では果てしない憎しみの戦いが続いてるっていうのに 経済学は一体何の役に立つのかしら?」と始まります。本書はほぼ20年前の発行になりますが今も何ら変わらない状況、いやずーと昔から人間が抱える解決のできない問題が今も続いていることになります。果たして経済学とはそもそもこれらの愚かな人間の問題にはなんの役にもたたないものなのでしょうか?これは大人に突きつけられる課題です。
SOUK(スーク)市場の中の女の子(文・松井彰彦、絵・スドウピウ、PHP研究所、2004年)


2023.09.30

映画「峠 最後のサムライ」から


アマゾン・プライムから昨年ロードショーで見逃した映画「峠 最後のサムライ」(2022年松竹、監督・小泉堯史、原作・司馬遼太郎)が新着映画としてリリースされたのでさっそく鑑賞。地味な映画ながら、ところどころのセリフが印象的。終盤、新政府軍に責められるなかでも、河井継之助の「民の教育こそ国の礎だ」が最も響く。
はからずしも長州出身の世襲議員首相が、発足(2012年12月の第二次安倍政権)以降のこの國の軍事費支出が目に付く一方で教育への投資は横這いで、事実上は後退している。当時の2012年度(平成24年度)の防衛予算は4兆6500億円。直近の2022年度(令和4年)は5兆4,005億円(米軍再編のための日本側負担含む)と16%増(ただし後年度負担という分割払いの装備金額を含めると2022年度は5兆8,642億円(また2023年度予算の防衛費は過去最大の6兆8219億円)とすさまじい増大ぶりであろう。
一方、文教及び科学振興費(一般会計)は2012年度の5兆4057億円に対、2023年度は5兆4158億円で事実上の横這い。2017年(平成29年)3月に私立大学の振興に関する協議会がまとめた報告書によれば、我が国の大学生一人当たりに対する公財政支出額(加重平均)で69万円とはOECD加盟国平均の99万円を大きく下回るほか、私立大学でみればなんと17万円とOECD加盟国の最下位。軍事費予算が世界の上位にランキングしていること比較してみれば、明らかに目指す方向が間違っているのではないでしょうか?
教育こそ最大の国防力ではないでしょうか?

2023.09.27

田村 隆一「詩人の旅」

 
「銭湯すたれば 人情すたる、、、」の詩人、田村 隆一の旅に関するエッセーなどを集めた一冊です。
ちょうど先日、この詩人のファンでもある先輩たちと伊那谷を旅してきましたが、本書には「伊那」について「木曽谷が陰とすると、伊那谷は陽だ」「伊那谷」は南信州のシンボルだ」などとあります。
次回の伊那田への旅では本書に登場する飯田の開善寺や、飯田の地酒「喜久水」にも触れてみたいと思います。

 

2023.09.14

空間に恋してー埼玉県宮代町

左2冊は宮代町のパンフレット。共に進修館で撮影された表紙となっています。


「空間に恋して LOVE WITH LOCUS 象設計集団のいろはカルタ」では宮代町の3つの表象「進修館」、「笠原小学校」、「新しい村」が紹介され、元宮代町長の故斎藤甲馬さんの言葉で「円卓で議会 皆の顔が見えてよい」で始まります。
この斎藤町長と象設計集団の出会いが素晴らしい表象、建築を生んでいます。
斎藤町長の「庁舎はボロでよい。町民の集会所にお金をかけよう。世界のどこにもないものを建てよう。子どもたちがおおきくなった時に、誇りに思える ようなものをつくろう。としたのを象設計集団が具現化しています。
しかも「金がないのが基本だ。借金はしない。身の丈にあったことをすることだ。と斎藤元町長の言葉が綴られています。
「空間に恋して LOVE WITH LOCUS 象設計集団のいろはカルタ」によれば農村集落を表象するのが「笠原小学校」、田園風景を表象するのは「新しい村」で、「進修館」は市街地の風景を表象しているそうです。風景のタテ糸の一本を古利根川から山崎の森までとしてとらえ、このタテ糸に風景の各様相(ヨコ糸)として3つの建築に20余年取り組んできたといいます。

2023.08.18

桃とモモ

左・岡山産、右・福島産

毎朝ラジオ体操を日課としていますが、夏の楽しみは全国巡回ラジオ体操。
8月9日は福島県の桑折町からでした。ラジオで地名を最初聞いたお時は「こおりやま??」かと思いましたが「こおりまち」と読むそうで勉強になりました。
何でも「献上桃の郷」とかで、福島の桃の美味しさは存じていましたが(今季も山の先輩が岡山や福島の桃を届けていただき口福な夏を送らせていただいております)、ここですかー。です。
町内の阿武隈川沿いの桃畑ですが、春は桃の花が一斉に咲き、まさに「桃源郷」が出現するとかで、その中を走る「こおりピーチライン」を一度は走ってみたくなりますね。
 
さて桃がらみで「モモ」(時間どろぼうとぬすまれた時間を人間にかえしてくれた女の子のふしぎな物語、岩波書店、1976年、 ミヒャエル エンデ ・著&挿絵、大島 かおり ・訳)という名著を思い出します(ステアリング、ハンドルのmomoを連想する方もいるかもしれません)、二十歳そこそこの頃、友人から勧められた今でも印象に残る傑作です。
これまで子供たちに読ませてきましたが、夏休みの読書感想文に悩む中1の弟子2号に勧めてみたいと思います。
 
小さなとりわけ特別な才能を持っているわけでもないMOMOが幸運をもたらす子供であったように、弟子たちにもこのMOMOと本書を通じて触れ合ってほしいものです。
 
それにしても、MOMOの住む円形劇場にプーチンとゼレンスキー、はたまたバイデンと習近平がやってくれば世界はもっと良くなるのではと頭をよぎります。この物語にあるクルシメーア・アウグスティーナ女帝が、大きくなると金(gold)に変わるという魚を手にし「大きければ大きいほどいい」として、最後はその魚の大きくなることを望むあまり、国を治める仕事をないがしろにしていく逸話は、まるでロシアか中国にあてはまるかのようです。
また時間貯蓄銀行の行員の悪魔のささやきに対して、効率化がもたらす弊害を「時間とはすなわち生活なのです。そして生活とは、人間の心の中にあるものなのです。人間が時間を節約すればするほど、生活はやせほそって、なくなってしまうのです。(本書六章・インチキで人をまるめこむ計算、本文ママ)とありますが、例えばマイナンバーカードのごり押しがその典型例でもあるようでなりません。
効率化どころか、効率化によってもたらすというコスト(税金)の軽減どころか、まったくその逆を進み、無駄な時間と経費を必要とし、地方公務員や自治体、医療機関の生活を蝕んでいるのではないでしょうか?わが国にも「灰色の男たち」が暗躍していますね。


2023.06.26

テキヤの掟


娘が各地のフリーマーケットやお祭り、イベントに出店したりしていることから、娘曰く「テキヤさん」との交流が少しはあるようで、廣末 登さんの同書(角川新書、2023年1月)を手に取ってみました(読み終え娘にも同書を読んでみるかと尋ねてみれば、とうに読んでみたとのことで嬉しくもなりました)。
娘が同書を手にした理由は知りませんが、私が最も惹きつけられたのが第三章「彼らはどこから来て、どこへ行くのか」で取りあげられた添田知道の「てきや(香具師)の生活」(雄山閣出版、1964年)です。
添田知道といえば添田唖蝉坊の長男で、添田唖蝉坊の「ノンキ節」や「あきらめ節」は、それぞれ高石ともや、高田渡の歌で若い頃より親しんでいたほか、大島渚の映画「日本春歌考」(1967年、同映画の脚本には高校の先輩にあたる佐々木守さんもかかわっています)に影響を与えた添田知道の「日本春歌考・庶民のうたえる性の悦び」(光文社 KAPPA BOOKS、1966年)は、私の愛蔵書の一冊であります(同書には第二部の「民謡のなかの春歌」で白峰の「かんこ踊り」を古雅、飄逸(ひょういつ)、豪快、清澄な女体賛美と評していることも嬉しい限りです)。
話がテキヤから離れてしまいましたが、「テキヤの掟」では、添田知道の「てきや(香具師)の生活」から「漂泊を生活とする習わしは原始の当然であって、洋の東西を問わぬところである。顕著な例でいえば、こちらに山窩の類がのこるように、あちらにはジプシーのそれがある。これを軽蔑的にみたり、異端視する者があるとすれば、それは一所定着の習いを性とした者の偏見、または思い上がりといっていい。浮浪人をいやしむいわれはない。早い話が、私たちは旅にさそわれる。ほとんどの人が旅を好む。これこそ浮浪本能のよきあらわれ、魂の郷愁のなせるわざといってよいのではないか(中略)。香具師は、実はこの浮浪人を源流としているのである。」と引用しています。
かつて国内に存在したとされる放浪民集団サンカ(山家、山窩)については、宮本常一の「山に生きる人びと」(1964年)にも「サンカの終焉」として取りあげられていますが、残念ながらテキヤにつながるような描写はありませんでした。

2023.06.24

「朱」にまつわる三冊


 先日、城廻りの師匠との旅で、読んでみますかと渡された1冊が「朱に魅せられた弥生人・若杉山辰砂採掘遺跡」(西本和哉・著、新泉社、2023年4月)という、徳島県阿南市にある辰砂を採掘した痕跡をとどめる唯一の遺跡を学ぶ一冊。
 「朱」の原料となる「辰砂(しんしゃ)」という鉱物の採掘と日本の古代史については、前にも「邪馬台国は”朱の王国”であった」(蓮池明弘・著、文春新書、2018年)という本で興味を持っていましたので、蒸し暑い梅雨の休日に一気に読みました。
 さすがに著者は埋蔵文化の研究者だけにカラー写真や絵、地図をふんだんに使った本書のアプローチには関心します。
 おかげで「邪馬台国は”朱の王国”であった」を再び開いてみると、改めて新しい発見や好奇心がわいてきます。そして「朱」にまつわるもう一冊が、白洲雅子の代表作の一つ「十一面観音巡礼」です。
 本書では十一面観音が朱や水銀と結びついていることを示唆していますが、「邪馬台国は”朱の王国”であった」では「白洲雅子が歩んだ朱の道」として「全国各地の十一面観音をめぐる旅が、ことごとく朱産地と重なっている」とあります。
 さーて、それでは十一面観音と関わりも多い白山信仰と「朱」についてはいかがでしょうか?また新たなる興味がわいてきますね。

2023.06.12

カント オロワ ヤク サク ノ アランケ シネ カ イサム

弟子第1号と読み合わせをしていた野田サトルさんの「ゴールデンカムイ」(集英社ヤングジャンプ コミックス)全31巻ですが、4か月かけようやく読み終えました。
ついでにこの作品のアイヌ語監修を行った千葉大学教授の中川 裕さんの”アイヌ文化で読み解く「ゴールデンカムイ」”(集英社新書)も最後に併せて読まさせて頂きました。
漫画そのものの内容は高校1年生にはやや難しいものではありますが、わずかでも印象に残ったり、アイヌに関心をもてえもらえれば御の字でしょうか?
アニメもあるようで文字では伝わらないアイヌ語の独特と発音なども観てみたいものです。
冒頭のアイヌ語は「天から役目なしに降ろされた物はひとつもない」という素晴らしい言葉で各巻のカバー裏表紙に書かれています。さて自分が天から降ろされた役目は、、、?といまだ迷い道をくねくねしている状況に自問自答ではありましたが。

2023.03.11

ゴールデンカムイと北海道産亜麻仁油

当ブログで斧のシャフトに塗布するために購入した亜麻仁油を紹介していますが、弟子1号と読み合わせをしている「ゴールデンカムイ」の第9巻になんと亜麻仁油のことが取り上げられていました。
脱獄王の白石由竹が贋作師(贋札犯)の熊岸長庵と共に樺戸集治監(のちの樺戸監獄)から脱獄する策として、合い鍵を便せんに使う和紙とご飯粒を練り合わせて作るその強度補強材として亜麻仁油を使うという場面です。
熊岸の台詞には「乾性脂といって空気に触れると固まるんです。油絵の具とかにも使ったりしますね。」ともあります。亜麻仁油は監獄で自給自足のために味噌や醤油など様々なものを囚人の内役として製造しており、亜麻仁油もそのうちの一つとの補足もありました。
樺戸集治監については集治監があった月形町公式サイトに詳しく紹介されていました。
ちなみに月形町(当時は月形村)の名前は初代典獄(監獄長)月形潔の名を取ったものだそうです。
そこで調べてみました。北海道で亜麻仁油?です。
どうやら日本では北海道において、明治から昭和初期にかけて、食用や塗料・リネン繊維など用に広く亜麻が生産されていたようです。
では現在は?ですが北海道産の亜麻仁油がやはり販売されていますね。さっそく取り寄せてみました。
昭和40年代には一時北海道からその生産が姿を消した亜麻ですが、現在は月形町や当別町、新十津川町ほかで亜麻仁が生産されています。
北海道と亜麻の生産の歴史については亜麻公社(当別町)のサイトに詳しく紹介されています。
北海道での亜麻の生産の目的が軍需用の採繊であったこと(戦争特需)。お抱え外国人・トーマス・アンチセルの提言を受け、北海道での亜麻仁生産を導入推進したのが榎本武揚であったことなど興味が尽きません。
なおトーマス・アンチセルは道内調査時に現在の岩内町で野生ホップを発見。これが日本のビールのルーツは岩内町にある所以だそうで、この発見1871(イワナイ)年から5年後に札幌で開拓使麦酒醸造所(現サッポロビール)が開業したそうです。
時間があれば月形樺戸博物館や岩内町郷土館を次回の北海道の旅に組み入れてみたいものです。
購入した道産亜麻仁油はOMEGAファーマーズ(士別市武徳町)さんで、旧武徳小学校跡地の体育館を活かした搾油・精製プラントで作られているそうです。
シャフト塗布用にはもったいないので今回はすべて食品用にします。

2023.03.07

津山 美しい建築の街(山陽新聞社、2022年)

美作の中心地「津山」は山の先輩の故郷です。
また有吉佐和子の「出雲の阿国」を読み、阿国の情夫といわれた戦国武将・名古屋(那古野) 山三郎の終焉の地であったことや、映画「男はつらいよ」の最終作「男はつらいよ 寅次郎紅の花」(第48作、1995年)のロケ地であったことで、惹かれていた地です。
その山の先輩が時折送ってくれる荷物の中に山陽新聞があり、その新聞に掲載されていた広告で本書のことを知りました。
本書の冒頭に、著者の従兄弟であるB'zの稲葉浩志さんが「東中に入学してできた最初の友達が滝尾に住んでいてこの美作滝尾駅で待ち合わせした」と寄せていましたが、その美作滝尾駅は2018年5月に訪れ当ブログにも紹介しています。
おなじく本書にも紹介されている津山まなび鉄道館もその際に訪問。
初めて津山を訪れたのが2014年の1月ですが、まだまだ本書を見ていると知らない魅力的な「津山」がたくさん紹介されていますね。


2023.02.20

今こそ教育現場へ「はだしのゲン」を!

全国の図書館から「はだしのゲン」が消えつつあることは数年前から危惧しておりましたが、とうとう広島で、これですか?被爆者は、市民は怒らないのでしょうか?
先日、ニュースで「広島市教育委員会は2023年度に市立の全小中学、高校の平和教育プログラムを初めて見直し、小学3年向けの新教材では、これまで採用していた漫画「はだしのゲン」を削除し別の被爆者の体験を扱った内容に差し替える。」と伝えられましたが、
私のような感想を抱いた人は少なからずあったと思います。
「はだしのゲン」の削除の理由として「児童の生活実態に合わない」「誤解を与える恐れがある」「漫画の一部を教材としているため、被爆の実態に迫りにくい」などとされていましたが、???です。
歴史から学ぶということは、学んでいる現代との生活実態と乖離があるのは当たり前です。
また誤解を生むという個人の思考の差異こそ教育の出番ではないでしょうか?どうも教育とは簡単安直に一つのことを教えるものと教育委員会は誤認していませんでしょうか?時間が足りないなどと教育と経済生産性論理を一緒にしてはいませんか?「補助的に説明する時間がない」などという論理こそ教育者失格と思います。
「はだしのゲン」の表紙裏に「原爆を主題にした漫画を描くのはしんどいが、子どもらは、素直に何が真実かを見きわめてくれます」との中沢啓治さんの言葉が記載されています。妙な大人の忖度より、まずは子供たちの感性から教育は始まるのではないでしょうか?
「はだしのゲン」を知る者は、今こそ、今の時代にこそ「はだしのゲン」を教育現場にと声高に唱えましょう!

2023.02.16

つげ義春「オンドル小屋」

「伊豆の長八」関連で「長八の宿」が収録されている“つげ義春「旅」作品集・リアリズムの宿」(双葉社ACTIN COMICS 1983年)を、久々に読み返していたところ「オンドル小屋」という作品(1968年4月「ガロ」青林堂)も収録されていました。
そうです。昨年山仲間と訪れた後生掛温泉です。
昨年のこのブログでも紹介した通り、現在の後生掛温泉のオンドル部屋は立派な個室制で、つげ義春作品に描かれていたような蒸ノ湯温泉(ふけの湯)と同じ、自炊のみの共同宿舎形式のオンドル小屋は後生掛や蒸ノ湯近くにある大深温泉のみとなっています(初めて後生掛温泉を訪れた2000年9月にはまだのこっていたのですが)。

2023.02.12

ハンセン病文学の新生面『いのちの芽』の詩人たち

国立ハンセン病資料館(東村山市)に行ってきました。
先に紹介した石井正則さんの「13(サーティーン)ハンセン病療養所からの言葉」の巻末に、国立ハンセン病資料館学芸員の木村哲也さんが「日本のハンセン病政策と療養所の歴史」と題して一文を寄せており、その中でその国立ハンセン病資料館のことを紹介、さっそく訪ねてみました。
なんと嬉しいことに、資料館では石井正則さんの本の中でも取り上げられている詩の出所である「いのちの芽」(大江満雄、1953年三一書房)を含む、「ハンセン病文学の新生面 『いのちの芽』の詩人たち」という企画展をちょうど開催しており(2023年5月7日まで)、まるで本に導かれるようにの訪問となりました。
木村哲也さん、周防大島文化交流センターの学芸員の経験もあり、宮本常一の著作もあるのですね

白峰の「ばと」

国立ハンセン病資料館が70年ぶりに復刊した幻の詩集『いのちの芽』
同書の解説「おわりに」には木村哲也さんが詩人・大江満雄について紹介文も寄せていました。
ポストカードは常設展鑑賞のアンケートの返礼品でかつて多磨全生園で過ごした中学生たちの版画。


2023.02.10

13(サーティーン)ハンセン病療養所からの言葉

TBSラジオ「荻上チキ・ Session」をよく聞いていますが、 1月下旬「ハンセン病の教訓を俳優・石井正則さんと考える」という特集を聞きました。
石井正則といえばお笑いと俳優とサイクリストのイメージがありましたが
この放送を聞いて、たいへん惹かれました。
TVの自転車番組ほか同じTBSラジオでは、自転車協会 presents ミラクル・サイクル・ライフも時折聞いています。
本書(2020年3月、トランスビュー発行)は「荻上チキ・ Session」で紹介されていた石井正則の写真とハンセン病患者らの詩で構成された本。
石井正則が全国に13ある国立ハンセン病療養所を訪問し、あえてフィルムカメラ(エイトバイテンなど大判カメラ含む)で撮影したものを、言葉(本書の詩)にあわせていったと、番組の中で紹介されていました。
ハンセン病といえば、映画「砂の器」(1974年、松竹、原作・松本清張、監督・野村芳太郎) を観て、強く印象付けられた思いがありますが、「荻上チキ・ Session」を聞き、また本書を手にして改めて心の中に深く重く置き泊められました。
それにしても本書にある、詩の素晴らしいこと。重い詩もありますが、重さの中にも選ばれた言葉に華やかさや鮮やかさがあり、ふとその内容の重さを忘却の彼方に追いやりそうな見事な言葉遣いの詩が散見されます。
ちなみに石井正則もミニベロの愛好者と知ってまた嬉しくなります。
なお、同番組の放送内容は2月9日現在でも「荻上チキ・ Session」で、聞くことが可能でした。

2023.02.8

村上康成美術館

伊豆の同美術館が2月末で閉館と聞いて行ってきました。
ブログやホームページでも紹介しています同氏の絵本は昔からのファンであります。
※ブログ
※ホームページ

▲一番好きな作品と雑誌Be-Palの付録

2023.02.3

今年もヒロシマ平和カレンダー

ここ数年、毎年表題のカレンダーを購入しています。
今年のテーマは広島市立幟町小学校「のぼり平和資料室」の「笑顔を奪った戦争」です。
このカレンダーを手にして思うのは、特にこのヒロシマで生まれも、育ちもしていないくせに、ヒロシマを選挙地盤とする男が「笑顔を奪う戦争」につながる軍備拡張に邁進していることです。まさにブラックジョーク。中国が台湾に侵攻するような有事の際には、日本をその前線基地として活用したい感ありありの米国の思惑に気前よく尻尾を振っているお人よしの姿そのものです。
「思いやり予算」なるものがありますが、本質は「お人よし予算」であることと同じです。
この男にこそこれまでのヒロシマ平和カレンダーを熟視してほしいものです。
いまやこの男のすすめていることは子供たちからだけではなく、大人たちからも笑顔を奪う政策ばかりです。国民はバカなのでしょうか?
いつか来た道を繰り返さないために我々は歴史を学んできたはずです。
希望の見えない社会、国で人は子供を産み育てたいとは思いません。
子供を増やすどころか真逆の政策が続いていることに、国民はノーを突き付けていかねばなりません。
敵基地攻撃能力を配備すれば、仮想敵国である相手はそれ以上の敵基地攻撃能力を配備してくることは容易に想像がつきますよね。
最終的に相手を凌駕するか、あるいは同程度の敵基地攻撃能力の行き着く先は「核武装」であることはアホでもわかる自明の理です。
「国民を守る」といいながら国民を北の大地に置き去りにして逃げ、沖縄や本土各地でも国民を守れなかった歴史を我々は忘れてはなりません。
▶広島平和カレンダー(税込み・送料別途)の注文は
広島平和研究所・広島県教育用品(株)
電話:082-264-1750 mail:kyouikuyouhin@hiro-gakkouseikyou.or.jp
※2022年の広島平和カレンダーを紹介した時のブログ
※2021年の広島平和カレンダーを紹介した時のブログ
 


2023.02.2

北前船と裂織

今回も「北前船 寄港地と交易の物語」から旅を振り返ります。
丹後半島の伊根について、本書では「徐福伝説の伊根町」と紹介しています。はるか東の海上にある蓬莱という神山の不老不死の妙薬を求め、秦の始皇帝の命を受けた徐福達が伊根の新井崎付近に上陸とあります。たしかに伊根には徐福を祀る新井崎神社がありますが、これまでの数度にわたる伊根への旅でも、この神社は完全に見逃していました。これはいずれ行かねばなりません。
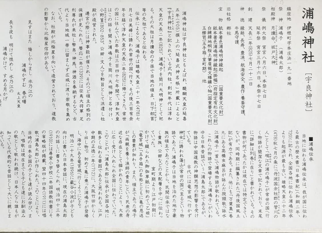
一方で浦島太郎を祀る浦嶋(宇良)神社には、2019年暮れ訪れました。本書にも写真入りで紹介されている当神社に奉納された北前船の模型についてもしっかりカメラに収めてきました(冒頭写真)。
また本書には宮津の京都府立丹後郷土資料館についても触れており、北前船関係はむろん、「北前船文化」と言える「裂織」の収蔵が素晴らしい旨を述べています。
江戸時代、大坂から北前船で運ばれた大量の古着木綿の再利用技術が、北前船とともに日本海沿岸に広がったと記されています(裂織の海の道)。
沿岸ではないものの、小生も石川県白峰の裂織「しゃっくりばと」を思い出します(背負子の下に着るチョッキのようなこの裂織を当時は単に「ばと」と呼んでいました)。さっそく白峰の山仲間に問い合わせてみたところ「白峰村史」にこの「シャクリバト」が紹介されていました(桑島では「サックリバト」)。
本書「継体天皇のふるさと」には、三国の裂織の仕事着を「さっくり」と呼ぶとあり(裂織の読み方が転化)ました。


浦嶋神社の案内看板

白峰の「ばと」

2023.02.1

美保関の青い石畳

引き続き「北前船 寄港地と交易の物語」から自分の旅を振り返ります。
「美保関の青い石畳」と紹介されている美保関には2014年の暮れに息子家族と訪れました。
息子が松江に勤務していたころで、毎年の年末年始を松江で過ごし近隣のあちこちへと足を運んだものです。
本書には往時の舗装道路であるこの町並みを貫く青い石畳を、美保関の繁栄の証として紹介していますが、ピーンときました!この青い石こそ福井の「笏谷石(しゃくだにいし)」(福井ブルー)ですね。
当ブログでも上ノ國八幡宮の狛犬が北前船が運んだ笏谷石であることを紹介しましたが、北陸と山陰、北海道と、かつて訪れた場所が偶然にも1つの糸で結ばれることに感嘆します。
今年の旅テーマにはこの福井市足羽山(石谷山)麓で採掘された笏谷石を訪ねる旅をと考えています。
 
写真の左には島根出身の徳川夢声が詠った「しとどなり 青石だたみ 秋の雨」
「しとど」とは「びっしょり」との意とか。


2023.01.31

出雲大社より日御﨑神社を信仰した海の男たち

「北前船 寄港地と交易の物語」備忘録第3弾です。
2010年9月に出雲大社と共に出雲大社の「祖神(おやがみ)さま」として崇敬を集める「みさきさん」日御碕(ひのみさき)神社、並びに石造灯台としては日本一の高さを誇る日御碕灯台(1903年、明治36年設置)を訪れました。
本書によれば航路の重要な目印としての日御碕にある日御碕神社を、北前船などの海の男たちは、出雲大社よりも信仰したとあります。
2010年の旅では日御碕から本書にも紹介されている鷺浦を経て、十六島(うっぷるい)湾から雲州平田へ抜けましたが、宇龍や鷺浦は北前船の寄り港として再訪してみたいものです。
2014年の当ブログでは十六島海苔も紹介しています。


2023.01.30

間宮林蔵は隠密だった

‎引き続き「北前船 寄港地と交易の物語」(加藤 貞仁・著、無明舎出版)を読みながらの再発見を記していきます。
間宮林蔵といえば「間宮海峡」や樺太探査で知られる探検家のイメージが強いのですが、本書を読むと石州浜田藩の密貿易を暴いた幕府隠密との記載に出くわしました。
北前船の有力な寄港地であった浜田には何度も訪れていますが、城廻りの師匠と共に浜田城を訪れた2020年11月には、ちょうどこの浜田の回船問屋が軒を連ねた松原浦を訪ね、会津屋(今津屋)八右衛門を称える頌徳碑(冒頭写真)にも立ち寄りました。
藩の廻船御用役の八右衛門は藩の財政を助け地方経済を蘇らせたと称える当地の看板には、藩の勘定方と共に八右衛門を死罪に追いやった(竹島事件)間宮林蔵については触れられていませんでした。
樺太探査を終えた間宮はその後幕府隠密として全国を行脚していたことを初めて知りました。

2023.01.29

「北前船 寄港地と交易の物語」が面白い

‎ 加藤 貞仁・著、無明舎出版 (2002/10)のオールカラー
これまでに訪ねた箇所が随所に紹介されており、また訪ねてみたくなったり、新しく訪れてみたい箇所がてんこ盛りです。
例えば2021年暮れに訪れたとびしま海道の御手洗
この本には「オチョロ舟の御手洗」、北前船全盛の頃の御手洗は「西国無双の港」と紹介されています。
西国無双というだけでもすごいですね。
小生のブログでも
「北前船の風待ち・潮待ち寄港地「御手洗」」
「歴史の裏舞台「御手洗」
と2回、御手洗を取り上げていますが、この本のわずか2ページの御手洗に関する紹介を読むだけでも、また御手洗を訪ねてみたくなります。

「オチョロ舟」とは遊女が船乗りのもとへと漕ぎ出す舟のこととありますが、船乗りの衣類洗濯た繕い物までしたというそんな遊女たちの墓地のことは知りませんでした。
「歴史の影に女」有りではありませんが、この本には「御手洗の繁栄の半分は、彼女らの貢献によるものだっただろう」とあります。
大きくうなずけます。
 
この本の出版時、御手洗へのアクセスは竹原か上蒲刈島から船と紹介されていましたが
しまなみ海道を南下し大三島の宗方から岡村島の岡村港までフェリー
岡村島から御手洗のある大崎下島へは、中ノ島、平羅島を経て安芸灘オレンジラインを結ぶ橋があり、豊島、上蒲刈島、下蒲刈島を経て本土(呉)につながるとびしま海道を車と自転車で走らせていただきました。

年末の旅を一緒にしている叔母と


BACKNUMBER



















2025.2.12
阿・吽
 


2025.1.27
丁度よい
 





2024.3.19
天路の旅人
 

2024.3.4
旅のつばくろ
 












2023.8.18
桃とモモ

 
2023.6.26
テキヤの掟











2023.2.2
北前船と裂織
 





BACKNUMBER